Учеными ИОХ РАН разработан новый способ восстановительного дифторметилирования алкенов
Фоторедокс катализ активно используется для генерации свободных радикалов. В частности, фотокаталитические процессы находят широкое применение для синтеза разнообразных фтороганических соединений по реакциям фторалкилирования, протекающим через образование фторированных радикалов. Превращения с участием этих интермедиатов позволяют получить структуры, зачастую недоступные другими методами.
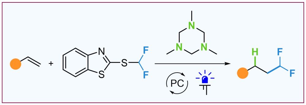
Учеными Лаборатории функциональных органических соединений разработан метод восстановительного дифторметилирования алкенов 2-дифторметилтиобензотиазолом в фотокаталитических условиях. Ключевой реагент получается в одну стадию из промышленных продуктов – 2-меркаптобезотиазола и дифторхлорметана. Особенностью реакции фторалкилирования является использование триазинана, легко получаемого из первичных аминов и формальдегида, для генерации алкильных радикалов, участвующих на стадии присоединения к двойной связи алкена. Обнаруженное превращение совместимо с широким кругом ненасыщенных соединений и позволяет получить различные дифторированные производные с высоким выходом.
Источник:
Artem O. Sorokin, Vitalij V. Levin, Alexander D. Dilman Visible Light Mediated Difluoroalkylation of Alkenes Using Mercaptobenzothiazole-Derived Sulfide Reagent Adv. Synth. Catal., 2024, accepted manuscript. DOI: 10.1002/adsc.202400884.
