Исследователями ИОХ РАН предложен новый фотокаталитический метод функционализации алкенов
Присоединение к алкенам является фундаментальным превращением органической химии, протекающим либо по ионному, либо по радикальному пути. Хотя радикальное присоединение к алкенам было открыто почти столетие назад, в последние десятилетия эта область вновь привлекает внимание исследователей. Это вызвано активным развитием фоторедокс-катализа, который позволяет генерировать свободнорадикальные частицы в мягких условиях, а также делает возможными совершенно новые типы химических процессов.
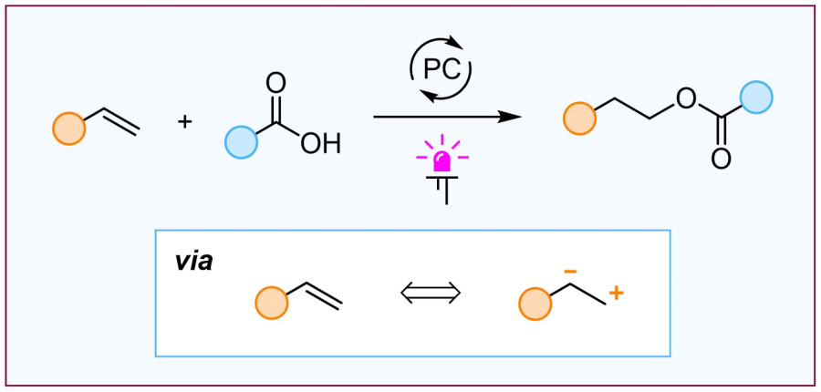
Учеными Лаборатории функциональных органических соединений ИОХ РАН разработан новый подход к фотокаталитическому присоединению карбоновых кислот к алкенам против правила Марковникова. Несмотря на то, что реакция осуществляется в фотокаталитических условиях и протекает по радикальному механизму, две новые связи C–O и C–H образуются по ионному пути. Использование акридинового фотокатализатора позволяет проводить реакцию в отсутствие каких-либо добавок, избегая использования внешних оснований или источников атомов водорода.
Источник:
Dmitry L. Lipilin, Mikhail O. Zubkov, Mikhail D. Kosobokov, Alexander D. Dilman Photocatalytic anti-Markovnikov addition of carboxylic acids to alkenes: an ionic mechanism under radical conditions Org. Chem. Front., 2025, 12, 1918-1926. DOI: 10.1039/D4QO02280G.
