В ИОХ РАН разработан каталитический метод прямой γ-лактонизации карбоновых кислот
γ-Лактоны являются распространёнными биологически активными соединениями, обладающими широким спектром противораковой, противогрибковой, противовирусной, противовоспалительной, антибактериальной активности. Создание эффективных общих методов синтеза γ-лактонов из доступных карбоновых кислот рассматривается как важная и актуальная задача (Tomanik, ACS Catal. 2025, 15, 9013−9034).
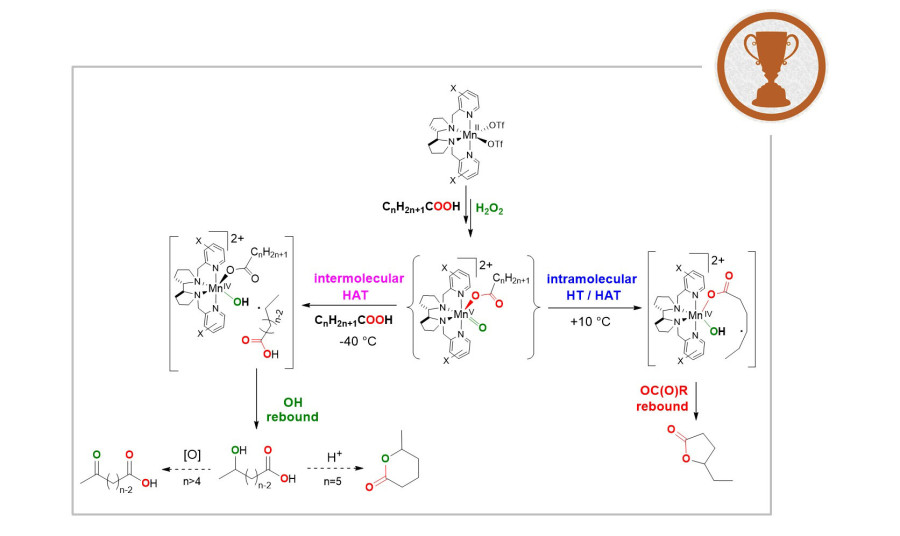
Сотрудниками Лаборатории селективного окислительного катализа ИОХ РАН разработаны каталитические системы на основе стерически затруднённых хиральных негемовых комплексов марганца, способные катализировать региоселективное окисление карбоновых кислот С4+ «зелёным» окислителем H2O2, давая соответствующие γ-лактоны с выходом до 90 %. Реакция может быть выполнена энантиоселективно (до 67 % ее). Обнаружено, что варьирование условий проведения реакции позволяет эффективно «переключать» направление процесса между γ-лактонизацией и прямым (ω-1)-гидроксилированием карбоновой кислоты. Экспериментальное и теоретическое исследование позволило установить, что реакция осуществляется внутримолекулярным образом через селективный разрыв γ-С‒Н связи под действием электрофильного MnV=О фрагмента, за которым следует рекомбинация с участием карбоксильной группы в координационной сфере марганца.
Опубликованное в журнале ACS Catalysis исследование является частью цикла работ, закладывающих синтетические и фундаментальные основы прямой селективной гетерофункционализации С(sp3)-Н связей сложных молекул «на поздних стадиях синтеза» (late-stage functionalization), с получением функционализированных метаболитов в одну синтетическую стадию.
Источник:
Vladimir I. Kurganskiy, Anna A. Bryliakova, Alexander G. Medvedev, Mikhail V. Shashkov, Konstantin P. Bryliakov Mn Catalyzed Regio- and Stereoselective C(sp3)‒H Lactonization of Carboxylic Acids with H2O2. ACS Catal. 2025, 15, 14938−14954. DOI: 10.1021/acscatal.5c03762.
Работа выполнена в рамках проекта РНФ 25-13-00108.
