Учеными ИОХ РАН продолжаются исследования по синтезу фрагментов клеточных стенок микобактерий
В настоящее время микобактериальные инфекции привлекают значительное внимание исследователей в связи со значительным ростом числа случаев заболевания ими во всем мире. Арабиногалактан и липоарабиноманнан являются компонентами клеточной стенки микобактерий, имеющими ключевое значение в их инфекционности и патогенности. По этой причине структурные фрагменты как арабиногалактана (АГ), так и липоарабиноманнана (ЛАМ) используются для изучения путей биосинтеза этих гликополимеров, разработки диагностических средств и вакцин, а также новых эффективных антимикробных препаратов. Несмотря на огромную значимость, химический синтез фрагментов клеточной стенки микобактерий, особенно олигоарабинофуранозидов, содержащих большое количество моносахаридных звеньев (≥10), остается достаточно проблематичным из-за недостаточной эффективности и селективности.
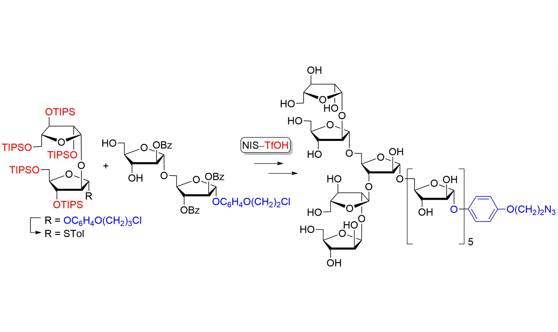
Учеными Лаборатории гликохимии ИОХ РАН разработана новая стратегия синтеза фрагментов АГ и ЛАМ Mycobacterium tuberculosis, основанная на использовании диарабинофуранозида Ara-β-(1→2)-Ara, содержащего исключительно триизопропилсилильные группы, что позволяет существенно сократить число стадий. С использованием этой методологии получен разветвленный гексаарабинофуранозид, содержащий 4-(2-хлорэтокси)фенил агликон, который был успешно превращен в гликозил-донор. Это позволило синтезировать декаарабинофуранозид, содержащий 4-(2-азидоэтокси)фенильный агликон. Синтезированные олигосахариды и полученные на их основе неогликоконъюгаты расширяют библиотеку антигенов на основе олигоарабинофуранозидов, родственных фрагментам АГ и ЛАМ микобактерий. Такие библиотеки перспективны для создания новых мультиэпитопных тестов для серодиагностики туберкулеза и лепры.
Источник:
Polina I. Abronina, Nelly N. Malysheva, Maxim Y. Karpenko, Dmitry S. Novikov, Alexander I. Zinin, N. G. Kolotyrkina, Leonid O. Kononov A Rational Synthesis of a Branched Decaarabinofuranoside Related to the Fragments of Mycobacterial Polysaccharides Molecules 2025, 30, 3295. DOI: 10.3390/molecules30153295.
