Исследователи ИОХ РАН осуществили радикальную функционализацию мезоионных гетероциклов
1,3-Дипольные соединения активно используются в органическом синтезе в реакциях диполярного циклоприсоединения. В последние годы активно исследуется их способность присоединять свободные радикалы. Сочетание этих двух типов реакционной способности может стать перспективной стратегией получения высокофункционализированных гетероциклов. Однако процессы радикального присоединения без разрушения дипольной структуры неизвестны.
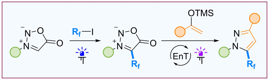
Ученым Лаборатории функциональных органических соединений ИОХ РАН удалось обнаружить первый пример радикальной функционализации мезоионных гетероциклов с сохранением мезоионной структуры, а именно присоединение фторированных радикалов к сиднонам – стабильным при хранении соединениям, проявляющим 1,3-дипольную реакционную способность в термических и фотохимических условиях. Полученные фторированные сидноны были вовлечены в реакцию циклоприсоединения с силиленолятами, в результате чего были селективно и в мягких условиях синтезированы перфторалкилированные производные пиразола, имеющие большое значение в медицинской химии.
Источник:
Zakhar M. Rubanov, Denis S. Koltun, Vitalij V. Levin, Alexander D. Dilman Exploring the Radical Addition to Sydnones: A Gateway to Perfluoroalkyl-Substituted Pyrazoles Org. Lett. 2025, 27, 10241−10245. DOI: 10.1021/acs.orglett.5c03398.
