Лаборатория химии нитросоединений (№ 42)
ORCID: 0000-0002-9859-9861
h-index: 16 (Scopus)
- Химия нитросоединений.
- Химия полиазот-кислородных гетероциклических и ациклических систем.
- Синтез новых высокоэнергетических молекулярных и солевых структур.
- Реакция нитрования и новые нитрующие реагенты.
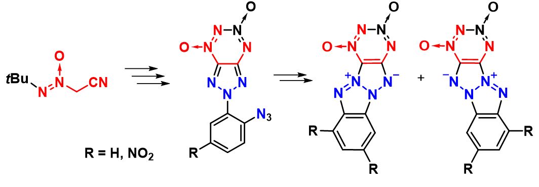
✓ Разработан метод синтеза и изучены свойства нового высокоэнергетического соединения – [1,2,3,4]тетразино[5,6-е][1,2,3,4]тетразин-1,3,6,8-тетраоксида (ТТТО). Он был синтезирован в десять стадий из 2,2-бис(трет-бутил-NNO-азокси)ацетонитрила. Синтетическая стратегия основана на последовательном замыкании двух 1,2,3,4-тетразин-1,3-диоксидных циклов путем генерации ионов оксодиазония и их внутримолекулярной реакции с трет-бутил-NNO-азоксигруппами. Структура ТТТО подтверждена с помощью монокристального рентгеноструктурного анализа. ТТТО – одно из наиболее энергоемких соединений, полученных на сегодняшний день. Он является термически стабильным (температура начала интенсивного разложения 155 °С (ДСК)), имеет хорошую плотность (1.84 г∙см–3 (пикнометр)) и высокую расчетную энтальпию образования (1028 ккал∙кг–1). (DOI: 10.1002/anie.201606541)
✓ Разработан простой и легкомасштабируемый метод синтеза ранее неизвестного 1,4-дигидро-[1,2,3]триазоло[4,5-d][1,2,3]триазола из рубеановодородной кислоты. Это соединение является родоначальником ряда [1,2,3]триазоло[4,5-d][1,2,3]триазолов. 1,4-Дигидро-[1,2,3]триазоло[4,5-d][1,2,3]триазол представляет собой бескислородное энергоемкое соединение (d = 1.84 г·см–3, ΔHf° = +1005 ккал·кг–1, Tнир = 193 °C (все экспериментальные значения), D = 8.5 км·с–1, P = 34 ГПа (расчетные значения)), а также может служить предшественником различных N-замещенных [1,2,3]триазоло[4,5-d][1,2,3]триазолов. Промежуточными соединениями в синтезе 1,4-дигидро-[1,2,3]триазоло[4,5-d][1,2,3]триазола являются ранее неизвестные хлорид 5-амино-4-диазо-4H-1,2,3-триазолия и 5-амино-4-диазо-4H-1,2,3-триазол, которые также могут служить исходными веществами для синтеза ряда новых гетероциклов. Например, на основе 5-амино-4-диазо-4H-1,2,3-триазола нами реализован региоселективный синтез 2,5-дизамещенного [1,2,3]триазоло[4,5-d][1,2,3]триазола, содержащего N4-трипоидный фрагмент. Разработанные методы синтеза 1,4-дигидро-[1,2,3]триазоло[4,5-d][1,2,3]триазола, хлорида 5-амино-4-диазо-4H-1,2,3-триазолия и 5-амино-4-диазо-4H-1,2,3-триазола сделают эти полиазотные системы доступными предшественниками для создания новых конденсированных азотсодержащих гетероциклов. (DOI: 10.1039/D4NJ04427D)
✓ Впервые показано, что взаимодействие нитрозосоединений с солями O-замещенных N-нитрогидроксиламинов приводит к образованию соответствующих азокси-окси соединений [R–N(O)=N–OR']. Это продемонстрировано на примере реакции 3-амино-4-нитрозофуразана с аммониевой солью O-метил-N-нитрогидроксиламина с образованием 3-амино-4-(метокси-NNO-азокси)фуразана. На основе этого аминофуразана нами синтезирован ряда новых энергоемких (метокси-NNO-азокси)фуразанов, содержащих нитро-, азо-, азокси- и метилендинитраминовые группы. Полученные замещенные (метокси-NNO-азокси)фуразаны обладают хорошей термической стабильностью (температуры начала разложения 148–238 °C), высокими экспериментальными значениями энтальпии образования (1435–2750 кДж/кг) и приемлемыми значениями плотности (1.57–1.75 г/см³). (DOI: 10.1016/j.enmf.2024.08.007)
✓ Разработаны два новых метода синтеза энергоемких фуразанов, содержащих малоизученную 1,3-динитро-1,3-диазабутильную группу. Исходными соединениями для их синтеза являются легкодоступные аминофуразаны и 1-хлор-2-нитро-2-азапропан. Полученные (1,3-динитро-1,3-диазабутил)фуразаны обладают хорошей термической стабильностью (температуры начала интенсивного разложения 124–160 °C (ДСК)), высокими экспериментальными значениями энтальпии образования (947–1528 кДж⋅кг−1) и приемлемыми значениями плотности (1.60–1.70 г⋅см−3). Синтезированные соединения по своим детонационным характеристикам (D = 8.0–8.3 км⋅с−1, PC–J = 27–30 ГПа) сопоставимы с тетранитратом пентаэритрита (ТЭН) (D = 8.3 км⋅с−1, PC–J = 31 ГПа). Для новых соединений выявлены корреляции «структура–свойство», которые позволят прогнозировать основные энергетические характеристики гипотетических соединений, содержащих 1,3-динитро-1,3-диазабутильную эксплозофорную группу. (DOI: 10.1016/j.fpc.2025.09.003)
✓ Разработан простой метод синтеза неизвестных ранее энергоёмких фуразанов, содержащих малоизученный эксплозофорный 5-азидо-1,3-динитро-1,3-диазапентильный фрагмент [–N(NO2)CH2N(NO2)CH2CH2N3]. Это первые гетероциклические соединения, имеющие 5-азидо-1,3-динитро-1,3-диазапентильную группу. Новые фуразаны обладают хорошей термической стабильностью (температуры начала разложения 115–157 °C), высокими значениями энтальпии образования (1459–1914 кДж⋅кг−1) и приемлемыми плотностями (1.64–1.73 г⋅см−3). Полученные соединения по своим детонационным характеристикам (D = 8.1–8.3 км⋅с−1, PC–J = 28–31 ГПа) сопоставимы с тетранитратом пентаэритрита (ТЭН) (D = 8.3 км⋅с−1, PC–J = 31 ГПа). Для новых соединений выявлены корреляции «структура–свойство», которые позволят прогнозировать основные энергетические характеристики гипотетических соединений, содержащих 5-азидо-1,3-динитро-1,3-диазапентильную эксплозофорную группу. (DOI: 10.1016/j.fpc.2025.11.008)
✓ Проведено сравнительное исследование аммониевых и гидразиниевых солей 4H-[1,2,3]триазоло[4,5-c][1,2,5]оксадиазола (триазолофуразана), его N-оксида и N-нитроимида. Целью этого исследования было выявление взаимосвязей “структура–свойства” для производных триазолофуразана. Показано, что триазолофуразан является перспективной и стабильной платформой для создания новых энергоемких соединений. На примере полученных солей оценен вклад N-оксидного и N-нитроимидного заместителей в изменение энтальпии образования, плотности, термостабильности и специальных характеристик. (DOI: 10.1039/d4ce00329b)
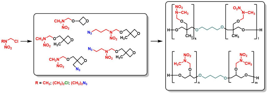
✓ Разработан метод синтеза новых (1-N-алкилнитрамино)метоксизамещенных оксетановых мономеров из соответствующих N-хлорметил-N-алкилнитраминов. На основе этих мономеров синтезированы новые энергоемкие олигомеры для предварительной оценки их потенциала. Олигомеры тщательно охарактеризованы комплексом физико-химических методов, и выявлены их общие структурные особенности. Новые оксетановые мономеры могут быть использованы для получения перспективных энергоемких связующих методом катионной полимеризации с раскрытием цикла. (DOI: 10.1016/j.fpc.2024.12.002)
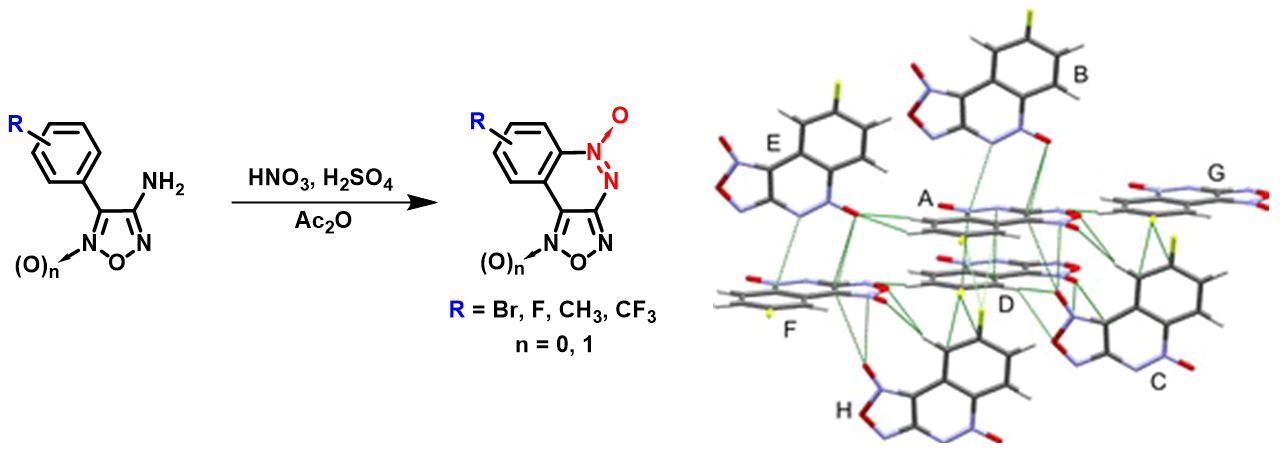
✓ Показана универсальность системы HNO3–H2SO4–Ac2O в реакции аннелирования амино-1,2,5-оксадиазолов. Помимо ранее полученных незамещенных циннолиноксидов и их нитропроизводных, из соответствующих 3-амино-4-(R-арил)фуразанов и 4-амино-3-(R-арил)фуроксанов получена серия R-[1,2,5]оксадиазоло[3,4-c]циннолин-5-моно- и 1,5-диоксидов с различными заместителями (R = Br, F, CH3, CF3) в бензольном цикле.
Определены кристаллические структуры для пяти новых соединений. Проведено сравнение кристаллических упаковок между собой и с упаковками ранее изученных молекул, что позволило выявить общие мотивы независимо от типа и положения заместителя R. В частности, фторпроизводное образует слои, изоструктурные слоям незамещенных моно- и диоксидов, отличаясь лишь их расположением в пространственных группах P21 и P21/c. Метильные производные как фуразана, так и фуроксана демонстрируют плоскослоистую структуру, что означает, что присутствие экзоциклического атома кислорода практически не влияет на слоистую упаковку в кристалле. Незамещенная часть гетероциклического ядра склонна к образованию повторяющихся изоструктурных мотивов, таких как димеры, цепочки и слои. (DOI: 10.1039/d4ce01068j)
✓ Созданы методы синтеза новых гетероциклических систем, представляющих собой 1,2,3,4-тетразин-1,3-диоксиды, аннелированные 1,3а,4,6а-тетраазапенталенами. Схема синтеза начинается с (трет-бутил-NNO-азокси)ацетонитрила и включает сначала замыкание 1,2,3,4-тетразин-1,3-диоксидного цикла, а затем образование 1,3а,4,6а-тетраазапенталеновой системы. Также были получены производные новых полициклических систем, нитрованные по бензольному кольцу. Ряд синтезированных тетраазапенталенов обладают высокой термической и химической стабильностью и могут представить интерес в качестве энергоемких веществ. (DOI: 10.1002/ajoc.201800545)
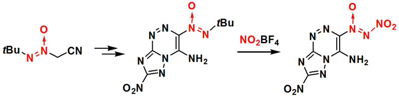
✓ На основе (трет-бутил-NNO-азокси)ацетонитрила разработан метод синтеза нового энергоемкого соединения – 7-нитро-3-(нитро-NNO-азокси)-[1,2,4]триазоло[5,1-с][1,2,4]триазин-4-амина, содержащего амино- и нитро-NNO-азоксигруппы в соседних положениях. Это первое нитро-NNO-азоксисоединение, обладающее приемлемой для практического применения термической стабильностью (температура начала интенсивного разложения 154 °C (ДСК)). Оно имеет высокую расчетную энтальпию образования (580 ккал·кг–1), высокую плотность (1.875 г·см–3) и чувствительность к механическим воздействиям на уровне тетранитрата пентаэритрита. (DOI: 10.1002/ejoc.201900314)
✓ Разработан метод синтеза и изучены свойства нового высокоэнергетического соединения — [1,2,3,4]тетразино[5,6-е][1,2,3,4]тетразин-1,3,6,8-тетраоксида (ТТТО). Он был синтезирован в десять стадий из 2,2-бис(трет-бутил-NNO-азокси)ацетонитрила. Синтетическая стратегия основана на последовательном замыкании двух 1,2,3,4-тетразин-1,3-диоксидных циклов путем генерации ионов оксодиазония и их внутримолекулярной реакции с трет-бутил-NNO-азоксигруппами. Структура ТТТО подтверждена с помощью монокристального рентгеноструктурного анализа. ТТТО — одно из наиболее энергоемких соединений, полученных на сегодняшний день. Он является термически стабильным (температура начала интенсивного разложения 155 °С (ДСК)), имеет хорошую плотность (1.84 г∙см–3 (пикнометр)) и высокую расчетную энтальпию образования (1028 ккал∙кг–1).
✓ Разработана оригинальная стратегия синтеза новых полиазот-кислородных соединений — солей N-замещенных производных 5-амино-[1,2,3]триазоло[4,5-c]фуразана 5a–c из 3-азидо-4-аминофуразана 1. Ключевой стадией этой стратегии является новая внутримолекулярная термическая циклизация азидной и триазеновой группы в молекуле фуразана 2. Элиминирование цианоэтильных групп и введение заместителя к аминогруппе приводит к циано-, нитро- и этоксикарбонил-замещенным солям 5a–c. Особенностью структуры этих солей является наличие Y-ароматической системы, состоящей из четырех атомов азота. Полученные соли являются термически стабильными. Соединения 5b, содержащие нитроамидную группу, интересны в качестве энергоёмких веществ.
✓ Создана стратегия синтеза замещенных [(3-нитро-1H-1,2,4-триазол-1-ил)-NNO-азокси]фуразанов — первых представителей нового класса энергоемких N-(азокси)азолов. Стратегия синтеза включает реакцию 1-амино-3-нитро-1Н-1,2,4-триазола с 2,2,2-трифтор-N-(4-нитрозофуразан-3-ил)ацетамидом в присутствии дибромиизоциануровой кислоты с последующим снятием трифторацетильной защитной группы и трансформацией полученного 3-амино-4-[(3-нитро-1H-1,2,4-триазол-1-ил)-NNO-азокси]фуразана в соответствующие нитро-, азо- и метилендинитраминозамещенные фуразаны. Полученные высокоэнергетические N-(азокси)-1,2,4-триазолы являются термически стабильными (температуры начала интенсивного разложения 147–228 °С (ДСК)), имеют высокие экспериментальные значения энтальпии образования (576–747 ккал∙кг–1), хорошую плотность (1.77–1.80 г∙см–3) и оптимальное содержание кислорода. По данным расчетов полученные N-(азокси)-1,2,4-триазолы могут представить интерес в качестве компонентов различных энергоемких композиций.
✓ Разработаны методы синтеза первых представителей высокоэнергетических N-(азокси)пиразолов, а именно изомерных [(3,4-динитро-1H-пиразол-1-ил)-NNO-азокси]фуразанов и [(3,5-динитро-1H-пиразол-1-ил)-NNO-азокси]фуразанов, содержащих амино, нитро- и азогруппы у фуразанового цикла. Синтезированные соединения обладают высокими экспериментальными значениями энтальпии образования (500–680 ккал∙кг–1), хорошей термической стабильностью (температуры начала интенсивного разложения 203–228 °С (ДСК)), хорошей плотностью (1.78–1.87 г∙см–3) и высокими расчетными детонационными характеристиками (скорости детонации D = 8.71–8.99 км·с–1, давления детонации Р = 34–39 ГПа). По данным расчетов полученные N-(азокси)пиразолы могут представить интерес в качестве компонентов различных энергоемких композиций.
✓ Созданы методы синтеза новых гетероциклических систем, представляющих собой 1,2,3,4-тетразин-1,3-диоксиды, аннелированные 1,3а,4,6а-тетраазапенталенами. Схема синтеза начинается с (трет-бутил-NNO-азокси)ацетонитрила и включает сначала замыкание 1,2,3,4-тетразин-1,3-диоксидного цикла, а затем образование 1,3а,4,6а-тетраазапенталеновой системы. Также были получены производные новых полициклических систем, нитрованные по бензольному кольцу. Ряд синтезированных тетраазапенталенов обладают высокой термической и химической стабильностью и могут представить интерес в качестве энергоемких веществ.
✓ На основе (трет-бутил-NNO-азокси)ацетонитрила разработан метод синтеза нового энергоемкого соединения — 7-нитро-3-(нитро-NNO-азокси)-[1,2,4]триазоло[5,1-с][1,2,4]триазин-4-амина, содержащего амино- и нитро-NNO-азоксигруппы в соседних положениях. Это первое нитро-NNO-азоксисоединение, обладающее приемлемой для практического применения термической стабильностью (температура начала интенсивного разложения 154 °C (ДСК)). Оно имеет высокую расчетную энтальпию образования (580 ккал·кг–1), высокую плотность (1.875 г см–3) и чувствительность к механическим воздействиям на уровне тетранитрата пентаэритрита.
✓ Три новых энергоемких фуразана с циано-NNO-азоксигруппой синтезированы с использованием цианамида и 2,2,2-трифтор-N-(4-нитрозофуразан-3-ил)ацетамида в качестве исходных соединений. Полученные (циано-NNO-азокси)фуразаны имеют высокие экспериментальные значения энтальпии образования (от +742 до +1073 ккал·кг–1), хорошую термическую стабильность (Tнир = 193–222 °C) и умеренную чувствительность к механическим воздействиям. Эти соединения могут представлять интерес в качестве компонентов различных энергоемких композиций.
✓ Синтезированы шесть новых энергоёмких (тетразол-5-ил-NNO-азокси)фуразанов из (циано-NNO-азокси)фуразанов. Полученные соединения обладают высокими значениями энтальпии образования (от +531 до +792 ккал∙кг–1), приемлемой плотностью (1.70–1.76 г∙см–3), хорошей термической стабильностью (Tнир = 146–199 °C), и, как следствие, высокими детонационными параметрами (скорость детонации 8.61–8.95 км∙с−1 и давление детонации 31.6–36.0 ГПа).
✓ Разработан простой общий метод получения алкилнитраминов, содержащих галогеноалкоксильный фрагмент. На основе этих реакционноспособных галогенсодержащих промежуточных продуктов было получено несколько азидоалкоксильных алкилнитраминов, являющихся энергоемкими пластификаторами. Созданный метод синтеза позволяет получать пластификаторы класса азидонитраминоэфиров из доступных исходных соединений с высокими выходами, он безопасен и легко масштабируется. Полученные продукты были полностью охарактеризованы спектральными методами, определена их чувствительность к удару, термическая стабильность и закон горения. Это позволило провести сравнение новых пластификаторов с аналогами, включающими другие комбинации эксплозофорных групп. Показано, что тип функциональных заместителей и их положение в молекуле могут быть использованы для настройки физико-химических и специальных характеристик новых пластификаторов. Полученные азидонитраминовые эфиры представляют собой жидкости с отличными энергетическими характеристиками и являются перспективными кандидатами на создание новых экологически чистых энергоемких материалов.
✓ Новый 7-азидофуразано[3,4-d][1,2,3]триазин-5-оксид был синтезирован из 3-амино-4-(тетразол-5-ил)фуразана с использованием солей нитрония. Полученное соединение полностью охарактеризовано, рассчитаны его энергетические характеристики.



















