Лаборатория химии полимеров (№16)
ORCID: 0000-0003-2709-2403
Researcher ID: D-8108-2015
h-index: 12
- Новые методы синтеза фторсодержащих полимеров и олигомеров с заданными структурой и свойствами, главным образом перфторполиэфиров, фторсодержащих гетероароматических полимеров, полифторорганосилоксанов и материалов из них.
- Исследование сополимеризации оксидов непредельных соединений с СО2 для синтеза полиалкиленкарбонатов — нового класса экологически безопасных термопластов.
- Разработка новых методов синтеза полимеров низкой плотности различного строения для медицинского и технического использования.
✓ Органические аэрогели низкой плотности (до 11–12 мг/см3) были синтезированы путем поликонденсации формальдегида с производными метилола бисфенола А (2,2-дифенилолпропана или БФА) термической обработкой в основных условиях. В данной работе впервые исследованы основные особенности образования золя бисфенол А-формальдегида (BF) и гидрогеля. Молекулярно-массовое распределение как исходной смолы, так и растворимых продуктов ее термической обработки исследовали методом эксклюзионной хроматографии. Детальное исследование структуры золей и динамики ее изменения проведено методами динамического и статического светорассеяния, сканирующей и просвечивающей электронной микроскопии. Полученные результаты позволили описать процесс гелеобразования как ограниченную диффузией кластерно-кластерную фрактальную агрегацию наночастиц золя, образующихся в процессе поликонденсации. Сшивание фрактальных агрегатов низкой плотности приводит к образованию макропористой структуры с большим объемом пор и, в конечном итоге, к аэрогелю низкой плотности.
✓ Синтезированы полиамиды на основе производного 5-гидроксиметилфурфурола (дихлорангидрида 2,5-фурандикарбоновой кислоты) и диаминов как ароматического, так и алифатического ряда. Ход реакций отслеживали методами 1Н ЯМР и ИК-спектроскопии. Определены термическая стабильность, температура стеклования и характеристическая вязкость синтезированных полимеров.
✓ В результате проведенных исследований предложен синтез новых фторсодержащих полиуретанов из фторсодержащих спиртов и ароматических (или алифатических) диизоцианатов:
В зависимости от выбранных исходных компонентов получены полиуретановые пластики с температурой плавления 98 оС и каучуки с температурой стеклования (Тст) до –135 оC. Температура начала разложения таких полимеров составляет 270—300 оС (DOI: 10.3390/molecules21070904).
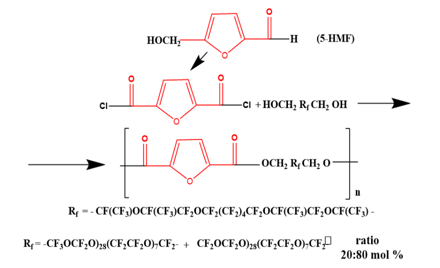
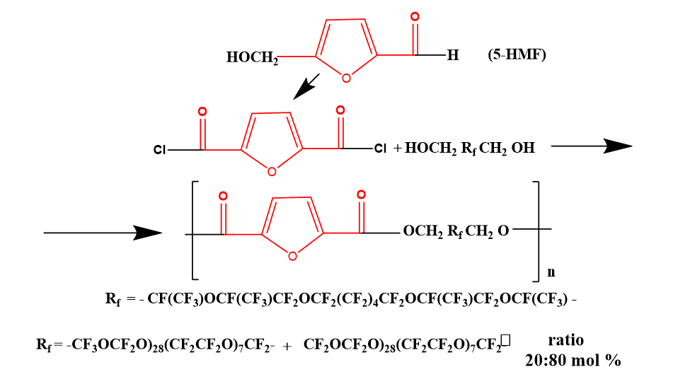
✓ В результате взаимодействия полифторированных диолов и дихлорангидрида 2,5-фуран-дикарбоновой кислоты впервые получены фторсодержащие полиэфиры:
Установлено, что такие полиэфиры сохраняют свои характеристики в широком диапазоне низких температур от –27 до –135 оС, что открывает основу для их дальнейшего применения (DOI: 10.1007/s11172-018-2304-3).
✓ Изучение взаимодействий перфторполиэфир-полиперекисей с перфтор- и полифторароматическими соединениями (С6F6, С6F5H, С6F5Cl, С6F5CF3) показало, что при термолизе этих соединений при 280–290 оC образуются разветвленные и сшитые перфторполимеры с температурой стеклования (Тст) до –140 оC и температурой начала деструкции +400 оC:
Установлено, что перфторбензол в этих условиях превращается в изомер — «бензол Дьюара», взаимодействие которого с перфторполиперекисями (PFPP-4) приводит к получению сшитых термостабильных полимеров (DOI: 10.1007/ s11172-019-2645-6).
✓ Значительное внимание было уделено синтезу материалов для защиты исторических памятников и монументальных произведений искусства от вредного воздействия окружающей среды. Разработаны методы синтеза ряда производных олигомерных перфторированных карбоновых кислот с реакционноспособными триалкоксильными группами:
Эти вещества растворимы в органических и/или фторорганических растворителях. Их нанесение на известняк, песчаник, мрамор и другие материалы придает этим поверхностям водоотталкивающие, маслоотталкивающие и грязезащитные свойства. Новые фторкремнийорганические соединения более эффективны, чем гидрофобизаторы на основе известных кремнийорганических веществ, и в отличие от них одновременно обладают высокой олеофобностью. Предельные краевые углы смачивания известняка, и других строительных материалов обработанного таким препаратом, составляли 130-140° и 90-95° для воды и декагидронафталина, соответственно. В сотрудничестве с администрацией г. Москва фторркремнийорганическим препаратом «Фторсам-39» обработан ряд архитектурных памятников. Спустя 10 лет после нанесения, на контрольных объектах не наблюдалось роста водорослей или грибков (S.P. Krukovsky, A.A. Yarosh, D.V. Batizat, A.A. Glazkov, M.Yu. Popovich, O.U. Smirnova, A.M. Sakharov, Flourine Notes.)
✓ В ИОХ РАН разработан метод получения α-окисей 1-винил-2-перфторалкокси-2,3,3-трифторциклобутанов в присутствии м-хлорнадбензойной кислоты (m-CPBA). Реакцию проводили в растворе хлористого метилена или перфтороктана при 40 оС, выход целевых продуктов составил 45—50%:
Согласно результатам спектрального анализа, методами ЯМР 1Н и 19F, полученные соединения содержат цис- и транс-изомеры относительно четырехчленного цикла. Показано, что цис-изомер существует в виде двух заторможенных конформаций вокруг связей НС—СН двух циклов в соотношении 3 : 1. Синтезированные α-окиси могут служить предшественниками новых полимеров с уникально низкими температурами стеклования (DOI: 10.1007/ s11172-022-3536-9).
✓ В работе описан синтез терполимеров с различным содержанием L-молочной кислоты в цепи полипропиленкарбоната путем сополимеризации CO2, пропиленоксида и L-лактида в присутствии адипината цинка:
Благодаря биосовместимости, способности к биодеструкции и низкой токсичности синтезированные поликарбонаты с включениями блоков L-молочной кислоты имеют высокий потенциал для биомедицинского применения (DOI: 10.1007/s11172-015- 1247-1).
✓ Разработан метод синтеза биодеструктируемого и биосовместимого терсополимера окиси пропилена, СО2 и триметиленкарбоната (ТМК), состоящего из блоков пропиленкарбоната и ТМК, а также определены его состав, микроструктура цепи, молекулярно-массовые и термические характеристики:
Установлено, что пленки сополимера триметиленкарбоната при экспозиции в ск-СО2 (20 МПа, 80 оС) образуют равномерные пористые структуры, которые могут найти применение в медицинской практике в качестве пористых подложек. С целью демонстрации возможностей полученных материалов были определены условия импрегнации ибупрофеном сополимера ТМК (35 оС, 8 МПа, 8 ч) и установлено, что концентрация ибупрофена может достигать ~ 30% от веса сополимера (DOI: 10.1007/s11172-022- 3588-x).
✓ На основе триацетата целлюлозы разработан метод получения микроячеистых малоплотных аэрогелей с заданной плотностью и пористостью для изучения гомогенности плазмы, генерируемой в высокоэнергетических лазерных условиях (рис. 19). Впервые экспериментально получена информация о флуктуациях плотности в плазме, продуцируемоых лазерным облучением малоплотных пен. Установлено, что значительные динамические изменения плотности плазмы могут сохраняться в течение 1 мс, что значительно превышает время ее образования.
Схема эксперимента (a), изображение прошедшего зондового пучка (b) и фото мишени перед выстрелом (c). Мишени изготовлены из микроцеллюлярных аэрогелей, полученных из триацетата целлюлозы плотностью 2 и 4 мг•см–3 и толщиной от 140 до 330 мкм (DOI: 10.1134/S0367292119090026).
✓ Некоторые выборочные результаты проведенных исследований представлены в обзорной статье, посвящённой 90-летию Института (DOI: 1066-5285/24/7309-2423).








